Dostępne są wyniki badań powietrza, które prowadzone były na zlecenie Urzędu Miejskiego w Mielcu w listopadzie i grudniu 2018 roku. Pomiary prowadził Główny Inspektorat Ochrony Środowiska.
Na podstawie porozumienia zawartego w dniu 28 września 2018 r. w Mielcu pomiędzy Gminą Miejską Mielec, a Głównym Inspektoratem Ochrony Środowiska, na terenie Specjalnej Strefy Ekonomicznej w Mielcu w listopadzie i grudniu 2018 roku wykonywane były pomiary zanieczyszczenia powietrza.
Badania stężeń pyłu zawieszonego PM 10, benzo(a)pirenu w pyle zawieszonym PM 10, benzenu i tlenków azotu w powietrzu atmosferycznym wykonywano za pomocą nowej stacji monitoringu powietrza, którą uruchomiono w ramach projektu Laboratorium Mielec.
Krajowe Laboratorium Referencyjne do spraw jakości powietrza atmosferycznego przedstawiło wyniki pomiarów.
Formaldehyd
Data pobrania próbek: 30.10 – 5.11.2018 – 1,84±0,31 µg/m3
Data pobrania próbek: 5.11 – 13.11.2018 – 2,83±0,48 µg/m3
Data pobrania próbek: 13.11 – 19.11.2018 – 2,31±0,39 µg/m3
Data pobrania próbek: 19.11 – 26.11.218 – 0,91±0,15 µg/m3
Data pobrania próbek: 26.11 – 3.12.2018 – 2,25±0,38 µg/m3
Data pobrania próbek: 3.12 – 10.12.2018 – 1,66±0,28 µg/m3
Data pobrania próbek: 10.12 – 17.12.2018 - 2,07±0,35 µg/m3
Pył PM10



Jak zaznaczono w dokumencie w okresie prowadzenia badań wartości dopuszczalne dla pyłu zawieszonego PM10 dla okresu uśredniania 24h w listopadzie zostały przekroczone 6 razy, natomiast w grudniu 4 razy.
Benzo(a)piren

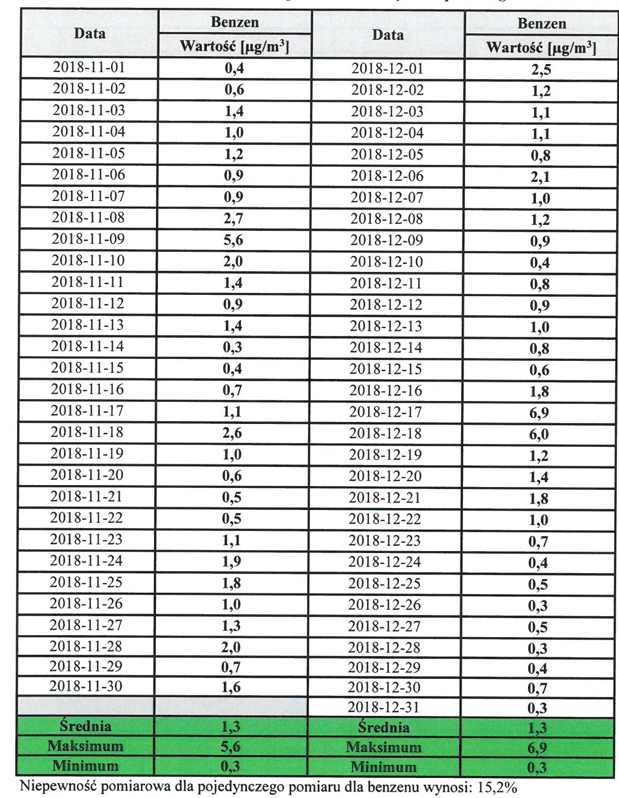
Benzen

Tlenki azotu:

Dopuszczalne wartości:

22 1
Reasumując: Mamy czyste powietrze. Radni już teraz powinni głosować nad zmianą nazwy miasta na Mielec-Zdrój i zamknąć raz na zawsze temat rozmów nad "czystością powietrza w Mielcu"...
0 1
Jestem za... choć i tak znajdą się oszołomy co będą twierdzić że normy są przekroczone o ponad 1500 razy...
18 2
Najlepszy jest pomiar 31.12.2018 czyli gdy zakłady nie pracują a ludzie świętują pomiar wyszedł najlepiej.
4 1
nie znamy siły wiatru który tu decyduje ale faktycznie możesz mieć rację i dni wolne można potraktować jako wyznacznik. Poza Krono bo ten jedzie na cztery brygady.
8 3
emot, Obywatel pominęliście jeden bardzo ważny szczegół. Ta stacja jest na strefie a dowodzi to tylko jednego. Strefa truje a zabija niska emisja. Jakby stacja stanęła w centrum wyniki byłby inne.
1 0
A przepraszam, ale tobie ktoś płaci za t brednie? Bo wyniki są ciekawe i jakieś sprzeczne z dodmatem
3 1
Brednią to jest zwalanie całej winy na strefę i usprawiedliwianie tym mieleckich spalaczy śmieci.
14 1
Nie wiem, nie znam się na tym i nie chcę wychodzić na jakiegoś eksperta, ale to jest jakieś dziwne. Zwłaszcza poziom formaldehydu.
Średnie pomiary WHO formaldehydu - na otwartym powietrzu w strefach uprzemysłowionych ok. 20?g, w domach 5?g-25?g, szkoły i przedszkola 2?g-5?g, budynki publiczne 5?g-15?g.
Na mieleckim SSE 1.98?g
Albo ja jestem *%#)!& i źle to czytam, albo jest jak kemot pisze. Mielec-Zdrój.
0 0
Wartość odniesienia w Polsce wynosi 4 mikrogram/m3. Pomogłem :)
13 1
Gdzie to czyste powietrze? Formaldehyd podchodzi pod poziom krytyczny ok. 3 ug/m3, który może wywoływać np. astmę. PM10 jest pokazany na wykresach, pokazują one 10 przekroczeń na 61 możliwych, czyli przekraczany jest przez ponad 16% czasu np. prawie 4h/dobę. Benzo(a)piren, jeśli wziąć wartości dopuszczalne podane na końcu (średnio 1 ng/m3 w roku), to mamy non stop kilkukrotne przekroczenie! Benzen ma 3 przekroczenia normy, na 61 możliwych, czyli przez 5% czasu np. ponad 1h/dobę. Podobne są przekroczenia tlenków azotu. Zdecydowanie władze Mielca powinny coś z tym zrobić!
0 0
kto podaje, że od 0l. 3ug/m3 formaldehyd wywołuje astmę? czy nie pomyliło się ug/m3 z mg/m3?
Rozporządzenie Ministra Środowiska z dnia 26.01.2010r. w sprawie wartości odniesienia dla niektórych substancji w powietrzu. Załącznik nr 1 Wartości odniesienia dla niektórych substancji w powietrzu dla terenu kraju, oznaczenie numeryczne tych substancji oraz okresy, dla których są uśrednione wartości odniesienia z wyłączeniem obszarów ochrony uzdrowiskowej. Formaldehyd wartość odniesienia w ?/m3 uśredniona dla okresu jednej godziny wynosi 50, natomiast uśredniona dla okresu roku kalendarzowego wynosi 4.
2 0
Na końcu jest link, gdzie w tabeli 3 podają np. 3.444 ug/m3 średnio przez całe życie dla wywołania astmy, atopii i alergii. Natomiast w tabeli 4 podają prawdopodobieństwo nowotworu przy 1 ug/m3 (Kronospan emituje średnio 2 ug/m3). Przykładowo prawdopodobieństwo 1.4*10-5 oznacza, że na 60 tys. mieszkańców, przez czas życia człowieka, z tytułu emisji formaldehydu przez ten zakład zachoruje na raka w Mielcu 1-2 osoby. Ja w takiego totolotka nie chcę grać.
https://www.researchgate.net/publication/255707810_Zagrozenia_dla_zdrowia_stwarzane_przez_formaldehyd
11 4
dla mnie to jest jakiś kosmos ta stacja pomiarowa to było w jakiejś piwnicy do której powietrze nie dochodziło jak wracam z pracy i chcę otworzyć okno w mieszkaniu i przewietrzyć to zaraz muszę zamknąć bo jeden dym i smród
3 1
I co mi z tych pomiarów konkretnie co a jedyne co to że z mojch podatków pasa się cwaniaki w krawatach pod nazwą badań czystości powietrza jakieś stacje pomiarowe i co z tego że normy przekroczone co a k... Nic
8 1
Taka stacja powinna stanąć na Mościskach gdzie jedt opad z kominów a nie tam gdzie wiatr nie wieje i to jeszcze tuż niedaleko kominów gdzie opad mijs tą stację jeśli już wieje.
4 1
A wartość benzopirenu uznanego oficjalnie jako silnie rakotwórczy wyjechany w kosmos. Pyły w stosunku do tego do pikuś.
0 0
Ale benzalfapiren mimo że 100x bardziej toksyczny od formaldehydu pochodzi z niskiej emisji wiec jest nieszkodliwy! Wg d.urni którzy w.alą konia na widok Krono to tylko pył i formaldehyd (jak widać w śladowych ilościach) truje.
3 2
Ileż można słuchać tego P-i-e-r-d-o-l-e-n-i-a , rynce opadają.
2 6
Piszecie i piszecie sami nie wiecie o czym. Pokazali Wam kilka liczb i teraz czekacie na kolejny wywód pseudo ekologów z interpretacją wyników bo sami tego nie ogarniacie. A jak już napisze Piotruś ze świętym Mikołajem to się będziecie nad tym analizować cały weekend bo "galeryja" zamknięta ....ha ha
1 1
Widać, że sledzisz prywatne konta i czytasz co tam piszą o Kronospanie, a to oznacza, że jesteś kronotrolem, który właśnie *%#)!& w gacie ze strachu przed utratą pracy. Zamykaj komputer i wracaj do lizania d..y swojemu pracodawcy. Wasze dni są już policzone ty trolu formaldehydowy.
0 0
A ty trolu który uzurpujesz sobie prawo do grożenia to kim jesteś? Kto cię opłaca. Bo to że kasę na tej całej zadymie z Krono zarabiacie to pewne. Myślisz że ludzie są na tyle *%#)!& i tego nie widzą. Przyjdzie i na ciebie czas!
0 0
Opłaca nas rosyjska mafia, tak twierdz twój KRONOszef w ostatnio udzielonym wywiadzie dla prasy. Puk puk puk, czas się pakować KRONOgeniuszu !!!
Użytkowniku, pamiętaj, że w Internecie nie jesteś anonimowy. Ponosisz odpowiedzialność za treści zamieszczane na portalu hej.mielec.pl. Dodanie opinii jest równoznaczne z akceptacją Regulaminu portalu. Jeśli zauważyłeś, że któraś opinia łamie prawo lub dobry obyczaj - powiadom nas [email protected] lub użyj przycisku Zgłoś komentarz